HashMap知识点
# HashMap知识点
# 一、HashMap扩容机制原理
# 1、JDK1.7版本扩容机制
生成一个新的数组,将原数组的元素全都转移到新的数组上
# resize方法源码
/**
* 分析:resize(2 * table.length)
* 作用:当容量不足时(容量 > 阈值),则扩容(扩到2倍)
*/
void resize(int newCapacity) {
// 1. 保存旧数组(old table)
Entry[] oldTable = table;
// 2. 保存旧容量(old capacity ),即数组长度
int oldCapacity = oldTable.length;
// 3. 若旧容量已经是系统默认最大容量了,那么将阈值设置成整型的最大值,退出
if (oldCapacity == MAXIMUM_CAPACITY) {
// 修改扩容阀值
threshold = Integer.MAX_VALUE;
return;
}
// 4. 根据新容量(2倍容量)新建1个数组,即新table
Entry[] newTable = new Entry[newCapacity];
// 5. 将旧数组上的数据(键值对)转移到新table中,从而完成扩容。initHashSeedAsNeeded(newCapacity)这个方法用来根据新的数组长度来重新初始化Hash种子
transfer(newTable, initHashSeedAsNeeded(newCapacity));
// 6. 新数组table引用到HashMap的table属性上
table = newTable;
// 7. 重新设置阈值,如果阈值超过了HashMap最大容量大小,则直接将阈值设置为 MAXIMUM_CAPACITY + 1
threshold = (int)Math.min(newCapacity * loadFactor, MAXIMUM_CAPACITY + 1);
}
2
3
4
5
6
7
8
9
10
11
12
13
14
15
16
17
18
19
20
21
22
23
24
# initHashSeedAsNeeded()方法源码
这个方法在JDK1.7中inflateTable()初始化哈希表方法和resize()扩容方法中都有出现。这个方法作用是初始化Hash种子。在JDK1.7中计算hash值的方法需要使用Hash种子来参与运算,进而提高计算出来的hash值的散列性,最大限度减少哈希冲突。下面就来简单讲一下这个方法:
* 这个方法用来根据新的数组长度来重新初始化Hash种子,好的Hash种子能提高计算Hash时结果的散列性,最大限度减少哈希冲突。
* @param capacity 根据传入的容量大小来进行重新初始化Hash种子
* @return 返回true说明已经根据传入的容量大小重新初始化了Hash种子,此时以前根据旧的Hash种子计算出来的Hash值就需要进行rehash了。
* 返回false说明并没有根据传入的容量大小进行重新初始化Hash种子
*/
final boolean initHashSeedAsNeeded(int capacity) {
// 首先会判断hashSeed是否不等于0,因为hashSeed一开始是0,所以此处是false
boolean currentAltHashing = hashSeed != 0;
// 这行代码是判断vm是否启动 且 容量到达一个值ALTERNATIVE_HASHING_THRESHOLD,这个值是可以自己去设定,不设定的话是默认的Integer.MaxValue 。 假设我们初始化容量capacity = 16,设置ALTERNATIVE_HASHING_THRESHOLD值为 3,那么这行代码会为true
boolean useAltHashing = sun.misc.VM.isBooted() &&
(capacity >= Holder.ALTERNATIVE_HASHING_THRESHOLD);
//亦或 ^ 的意思是 不相同则返回true,此时switching=true,那么hashSeed就会重新去计算hash种子,以便计算hash时增加散列性,
boolean switching = currentAltHashing ^ useAltHashing;
if (switching) {
// 重新设置了Hash种子
hashSeed = useAltHashing
? sun.misc.Hashing.randomHashSeed(this)
: 0;
}
return switching;
}
final int hash(Object k) {
// 设置了哈希种子
int h = hashSeed;
if (0 != h && k instanceof String) {
return sun.misc.Hashing.stringHash32((String) k);
}
// Hash种子参与到了key的Hash值计算当中
h ^= k.hashCode();
// This function ensures that hashCodes that differ only by
// constant multiples at each bit position have a bounded
// number of collisions (approximately 8 at default load factor).
h ^= (h >>> 20) ^ (h >>> 12);
return h ^ (h >>> 7) ^ (h >>> 4);
}
2
3
4
5
6
7
8
9
10
11
12
13
14
15
16
17
18
19
20
21
22
23
24
25
26
27
28
29
30
31
32
33
34
35
36
# addEntry方法
void addEntry(int hash,k key,v vaule,int bucketIndex){
//threshole为扩容阈值,及最大值*加载因子
if((size>=threshold)&&(null !=table[bucketIndex])){
resize(2*table.length);
hash=(null !=key) ? hash(key):0;
bucketIndex = indexFor(hash,table.length);
}
createEntry(hash,key,value,bucketIndex);
}
2
3
4
5
6
7
8
9
# transfer方法
void transfer(Entry[] newTable,boolean rehash){
int newCapacity = newTable.length;
for(Entry<K,V> e : table){
while(nul != e){
Entry<K,V> next = e.next;
if(rehash){
e.hash = null == e.key ? 0:hash(e.key);
}
int i= indexFor(e.hash, newCapacity);
e.next = newTable[i];
newTable[i] = e;
e= next;
}
}
}
2
3
4
5
6
7
8
9
10
11
12
13
14
15
扩容后原来的元素只会在新数组的原位置或原位置+原数组大小处
new =old|new = old + 16
# 2、JDK1.8版本扩容机制
# 方法执行流程

# java8 resize方法源码
/**
* Initializes or doubles table size. If null, allocates in
* accord with initial capacity target held in field threshold.
* Otherwise, because we are using power-of-two expansion, the
* elements from each bin must either stay at same index, or move
* with a power of two offset in the new table.
* 初始化或把table容量翻倍。如果table是空,则根据threshold属性的值去初始化HashMap的容
* 量。如果不为空,则进行扩容,因为我们使用2的次幂来给HashMap进行扩容,所以每个桶里的元素
* 必须保持在原来的位置或在新的table中以2的次幂作为偏移量进行移动
* @return 返回Node<K, V>数组
*/
final Node<K,V>[] resize() {
// 创建一个临时变量,用来存储当前的table
Node<K,V>[] oldTab = table;
// 获取原来的table的长度(大小),判断当前的table是否为空,如果为空,则把0赋值给新定义的oldCap,否则以table的长度作为oldCap的大小
int oldCap = (oldTab == null) ? 0 : oldTab.length;
// 创建临时变量用来存储旧的阈值,把旧table的阈值赋值给oldThr变量
int oldThr = threshold;
// 定义变量newCap和newThr来存放新的table的容量和阈值,默认都是0
int newCap, newThr = 0;
// 判断旧容量是否大于0
if (oldCap > 0) {
// 判断旧容量是否大于等于 允许的最大值,2^30
if (oldCap >= MAXIMUM_CAPACITY) {
// 以int的最大值作为原来HashMap的阈值,这样永远达不到阈值就不会扩容了
threshold = Integer.MAX_VALUE;
// 因为旧容量已经达到了最大的HashMap容量,不可以再扩容了,将阈值变成最大值之后,将原table返回
return oldTab;
}
// 如果原table容量不超过HashMap的最大容量,将原容量*2 赋值给变量newCap,如果newCap不大于HashMap的最大容量,并且原容量大于HashMap的默认容量
else if ((newCap = oldCap << 1) < MAXIMUM_CAPACITY &&
oldCap >= DEFAULT_INITIAL_CAPACITY)
// 将newThr的值设置为原HashMap的阈值*2
newThr = oldThr << 1; // double threshold
}
// 如果原容量不大于0,即原table为null,则判断旧阈值是否大于0
else if (oldThr > 0) // 如果原table为Null且原阈值大于0,说明当前是使用了构造方法指定了容量大小,只是声明了HashMap但是还没有真正的初始化HashMap(创建table数组),只有在向里面插入数据才会触发扩容操作进而进行初始化
// 将原阈值作为容量赋值给newCap当做newCap的值。由之前的源码分析可知,此时原阈值存储的大小就是调用构造函数时指定的容量大小,所以直接将原阈值赋值给新容量
newCap = oldThr;
// 如果原容量不大于0,并且原阈值也不大于0。这种情况说明调用的是无参构造方法,还没有真正初始化HashMap,只有put()数据的时候才会触发扩容操作进而进行初始化
else { // zero initial threshold signifies using defaults
// 则以默认容量作为newCap的值
newCap = DEFAULT_INITIAL_CAPACITY;
// 以初始容量*默认负载因子的结果作为newThr值
newThr = (int)(DEFAULT_LOAD_FACTOR * DEFAULT_INITIAL_CAPACITY);
}
// 经过上面的处理过程,如果newThr值为0,说明上面是进入到了原容量不大于0,旧阈值大于0的判断分支。需要单独给newThr进行赋值
if (newThr == 0) {
// 临时阈值 = 新容量 * 负载因子
float ft = (float)newCap * loadFactor;
// 设置新的阈值 保证新容量小于最大总量 阈值要小于最大容量,否则阈值就设置为int最大值
newThr = (newCap < MAXIMUM_CAPACITY && ft < (float)MAXIMUM_CAPACITY ?
(int)ft : Integer.MAX_VALUE);
}
// 将新的阈值newThr赋值给threshold,为新初始化的HashMap来使用
threshold = newThr;
// 初始化一个新的容量大小为newCap的Node数组
@SuppressWarnings({"rawtypes","unchecked"})
Node<K,V>[] newTab = (Node<K,V>[])new Node[newCap];
// 将新创建的数组赋值给table,完成扩容后的新数组创建
table = newTab;
// 如果旧table不为null,说明旧HashMap中有值
if (oldTab != null) {
// 如果原来的HashMap中有值,则遍历oldTab,取出每一个键值对,存入到新table
for (int j = 0; j < oldCap; ++j) {
// 创建一个临时变量e用来指向oldTab中的第j个键值对,
Node<K,V> e;
// 将oldTab[j]赋值给e并且判断原来table数组中第j个位置是否不为空
if ((e = oldTab[j]) != null) {
// 如果不为空,则将oldTab[j]置为null,释放内存,方便gc
oldTab[j] = null;
// 如果e.next = null,说明该位置的数组桶上没有连着额外的数组
if (e.next == null)
// 此时以e.hash&(newCap-1)的结果作为e在newTab中的位置,将e直接放置在新数组的新位置即可
newTab[e.hash & (newCap - 1)] = e;
// 否则说明e的后面连接着链表或者红黑树,判断e的类型是TreeNode还是Node,即链表和红黑树判断
else if (e instanceof TreeNode)
// 如果是红黑树,则进行红黑树的处理。将Node类型的e强制转为TreeNode,之所以能转换是因为TreeNode 是Node的子类
// 拆分树,具体源码解析会在后面的TreeNode章节中讲解
((TreeNode<K,V>)e).split(this, newTab, j, oldCap);
// 当前节不是红黑树,不是null,并且还有下一个元素。那么此时为链表
else { // preserve order
/*
这里定义了五个Node变量,其中lo和hi是,lower和higher的缩写,也就是高位和低位,
因为我们知道HashMap扩容时,容量会扩到原容量的2倍,
也就是放在链表中的Node的位置可能保持不变或位置变成 原位置+oldCap,在原位置基础上又加了一个数,位置变高了,
这里的高低位就是这个意思,低位指向的是保持原位置不变的节点,高位指向的是需要更新位置的节点
*/
// Head指向的是链表的头节点,Tail指向的是链表的尾节点
Node<K,V> loHead = null, loTail = null;
Node<K,V> hiHead = null, hiTail = null;
// 指向当前遍历到的节点的下一个节点
Node<K,V> next;
// 循环遍历链表中的Node
do {
next = e.next;
/*
如果e.hash & oldCap == 0,注意这里是oldCap,而不是oldCap-1。
我们知道oldCap是2的次幂,也就是1、2、4、8、16...转化为二进制之后,
都是最高位为1,其它位为0。所以oldCap & e.hash 也是只有e.hash值在oldCap二进制不为0的位对应的位也不为0时,
才会得到一个不为0的结果。举个例子,我们知道10010 和00010 与1111的&运算结果都是 0010 ,
但是110010和010010与10000的运算结果是不一样的,所以HashMap就是利用这一点,
来判断当前在链表中的数据,在扩容时位置是保持不变还是位置移动oldCap。
*/
// 如果结果为0,即位置保持不变
if ((e.hash & oldCap) == 0) {
// 如果是第一次遍历
if (loTail == null)
// 让loHead = e,设置头节点
loHead = e;
else
// 否则,让loTail的next = e
loTail.next = e;
// 最后让loTail = e
loTail = e;
}
/*
其实if 和else 中做的事情是一样的,本质上就是将不需要更新位置的节点加入到loHead为头节点的低位链表中,将需要更新位置的节点加入到hiHead为头结点的高位链表中。
我们看到有loHead和loTail两个Node,loHead为头节点,然后loTail是尾节点,在遍历的时候用来维护loHead,即每次循环,
更新loHead的next。我们来举个例子,比如原来的链表是A->B->C->D->E。
我们这里把->假设成next关系,这五个Node中,只有C的hash & oldCap != 0 ,
然后这个代码执行过程就是:
第一次循环: 先拿到A,把A赋给loHead,然后loTail也是A
第二次循环: 此时e的为B,而且loTail != null,也就是进入上面的else分支,把loTail.next =
B,此时loTail中即A->B,同样反应在loHead中也是A->B,然后把loTail = B
第三次循环: 此时e = C,由于C不满足 (e.hash & oldCap) == 0,进入到了我们下面的else分支,其
实做的事情和当前分支的意思一样,只不过维护的是hiHead和hiTail。
第四次循环: 此时e的为D,loTail != null,进入上面的else分支,把loTail.next =
D,此时loTail中即B->D,同样反应在loHead中也是A->B->D,然后把loTail = D
*/
else {
if (hiTail == null)
hiHead = e;
else
hiTail.next = e;
hiTail = e;
}
} while ((e = next) != null);
// 遍历结束,即把table[j]中所有的Node处理完
// 如果loTail不为空,也保证了loHead不为空
if (loTail != null) {
// 此时把loTail的next置空,将低位链表构造完成
loTail.next = null;
// 把loHead放在newTab数组的第j个位置上,也就是这些节点保持在数组中的原位置不变
newTab[j] = loHead;
}
// 同理,只不过hiHead中节点放的位置是j+oldCap
if (hiTail != null) {
hiTail.next = null;
// hiHead链表中的节点都是需要更新位置的节点
newTab[j + oldCap] = hiHead;
}
}
}
}
}
// 最后返回newTab
return newTab;
}
2
3
4
5
6
7
8
9
10
11
12
13
14
15
16
17
18
19
20
21
22
23
24
25
26
27
28
29
30
31
32
33
34
35
36
37
38
39
40
41
42
43
44
45
46
47
48
49
50
51
52
53
54
55
56
57
58
59
60
61
62
63
64
65
66
67
68
69
70
71
72
73
74
75
76
77
78
79
80
81
82
83
84
85
86
87
88
89
90
91
92
93
94
95
96
97
98
99
100
101
102
103
104
105
106
107
108
109
110
111
112
113
114
115
116
117
118
119
120
121
122
123
124
125
126
127
128
129
130
131
132
133
134
135
136
137
138
139
140
141
142
143
144
145
146
147
148
149
150
151
152
153
154
155
156
157
158
159
# 3、JDK1.7和JDK1.8的区别

# 二、HashMap和HashTable的区别?底层实现是什么?
# 1、HashMap和HashTable的区别
(1)最基本的区别HashTable是线程安全的,HashMap是线程不安全的,因为HashTable的每一个方法都使用synchronized关键字修饰。HashTable效率低下,现已不常使用,多使用CurrentHashMap.
(2)HashMap允许key和value为null,而HashTable不允许
# 2、底层实现是什么
jdk8开始链表高度到8、数组长度超过64,链表转换为红黑树,元素以内部类Node结点存在
计算key的hash值,二次hash然后对数组长度取模,对应到数组下标
如果没有产生hash冲突(下标位置没有元素),则直接创建Node数组
如果产生hash冲突,先进行equal比较,相同则取代元素,不同,则判断链表高度插入链表,链表高度达到8,并且数组长度到64则转变为红黑树,长度低于6则将红黑树转回链表
key为null,存在下标0的位置
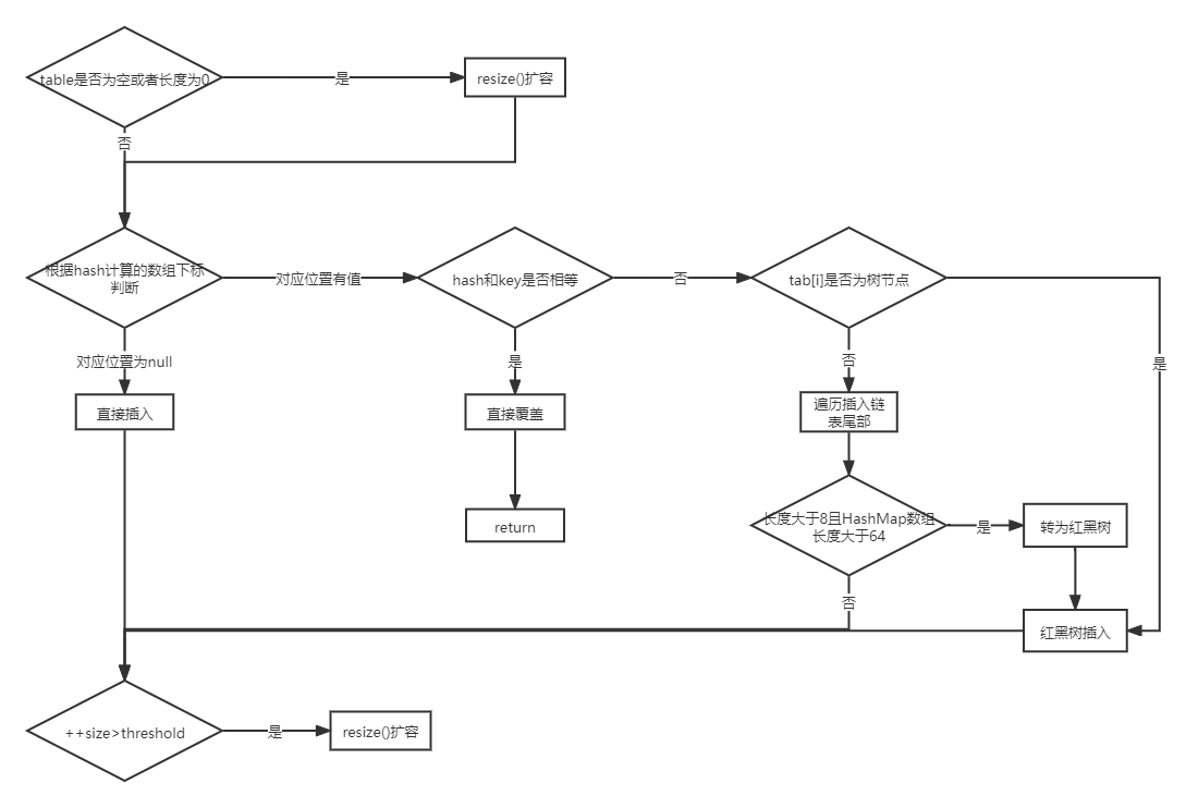
# 三 、HashMap里put方法的实现流程
# 1、put方法的作用和执行流程
HashMap 只提供了 put 用于添加元素,putval也是使用的默认修饰符,因此只能被本类或者该包下的类访问到,所以putVal 方法只是给 put 方法调用的一个方法,并没有提供给用户使用。
对 putVal 方法添加元素的分析如下:
1、如果定位到的数组位置没有元素,就直接插入。 2、如果定位到的数组位置有元素就和要插入的 key 比较,如果 key 相同就直接覆盖,如果 key 不相同,就判断 p 是否是一个树节点,如果是就调用e = ((TreeNode<K,V>)p).putTreeVal(this, tab, hash, key, value)将元素添加进入。如果不是就遍历链表插入(插入的是链表尾部)。

# 2、put()和putVal()源码
public V put(K key, V value) {
return putVal(hash(key), key, value, false, true);
}
/**
* Implements Map.put and related methods.
* 实现了map的put和相关方法
* @param hash key的hash值(key的hash高16位+高16位与低16位的异或运算)
* @param key 键
* @param value 值
* @param onlyIfAbsent onlyIfAbsent为true的时候不要修改已经存在的值,如果onlyIfAbsent为false,当插入的元素已经在HashMap中已经拥有了与其key值和hash值相同的元素,仍然需要把新插入的value值覆盖到旧value上。如果nlyIfAbsent为true,则不需要修改
* @param evict evict如果为false表示构造函数调用
* @return 返回旧的value值(在数组桶或链表或红黑树中找到存在与插入元素key值和hash值相等的元素,就返回这个旧元素的value值),如果没有发现相同key和hash的元素则返回null
*/
final V putVal(int hash, K key, V value, boolean onlyIfAbsent,
boolean evict) {
// tab用来临时存放数组table引用 p用来临时存放数组table桶中的bin
// n存放HashMap容量大小 i存放当前put进HashMap的元素在数组中的位置下标
Node<K,V>[] tab; Node<K,V> p; int n, i;
// table未初始化或者长度为0,进行扩容
if ((tab = table) == null || (n = tab.length) == 0)
n = (tab = resize()).length;
// (n - 1) & hash 确定元素存放在哪个桶中,桶为空,新生成结点放入桶中(此时,这个结点是放在数组中)
if ((p = tab[i = (n - 1) & hash]) == null)
tab[i] = newNode(hash, key, value, null);
// 桶中已经存在元素
else {
// e记录当前节点 k记录key值
Node<K,V> e; K k;
// 比较桶中第一个元素(数组中的结点)的hash值相等,key相等
if (p.hash == hash &&
((k = p.key) == key || (key != null && key.equals(k))))
// 将第一个元素赋值给e,用e来记录。直接将插入的新元素覆盖旧元素
e = p;
// hash值不相等,即key不相等并且该节点为红黑树结点,将元素插入红黑树
else if (p instanceof TreeNode)
// 放入树中
e = ((TreeNode<K,V>)p).putTreeVal(this, tab, hash, key, value);
// 为链表结点
else {
// 在链表最末插入结点(尾插法)
for (int binCount = 0; ; ++binCount) {
// 到达链表的尾部
if ((e = p.next) == null) {
// 在尾部插入新结点
p.next = newNode(hash, key, value, null);
// 结点数量达到阈值(默认为 8 ),执行 treeifyBin 方法
// 这个treeifyBin()方法会根据 HashMap 数组情况来决定是否转换为红黑树。
// 只有当数组长度大于或者等于 64 的情况下,才会执行转换红黑树操作,以减少执行效率。否则,就是只是对数组扩容。
if (binCount >= TREEIFY_THRESHOLD - 1) // -1 for 1st
// 树化操作
treeifyBin(tab, hash);
// 跳出循环 此时e=null,表示没有在链表中找到与插入元素key和hash值相同的节点
break;
}
// 判断链表中结点的key值和Hash值与插入的元素的key值和Hash值是否相等
if (e.hash == hash &&
((k = e.key) == key || (key != null && key.equals(k))))
// 若相等,则不用将其插入了,直接跳出循环
break;
// 用于遍历桶中的链表,与前面的e = p.next组合,可以遍历链表
p = e;
}
}
// 当e!=null时,表示在数组桶或链表或红黑树中存在key值、hash值与插入元素相等的结点。此时就直接用原有的节点就可以了,不用插入新的元素了。此时e就代表原本就存在于HashMap中的元素
if (e != null) {
// 记录e的value,也就是旧value值
V oldValue = e.value;
// onlyIfAbsent为false或者旧值为null,则需要用新的value值对旧value值进行覆盖
if (!onlyIfAbsent || oldValue == null)
//用新值替换旧值
e.value = value;
// 替换旧值时会调用的方法(默认实现为空)
afterNodeAccess(e);
// 返回旧值
return oldValue;
}
}
// 结构性修改,记录HashMap被修改的次数,主要用于多线程并发时候
++modCount;
// 实际大小大于阈值则扩容 ++size只有在插入新元素才会执行,如果发现HashMap中已经存在了相同key和hash的元素,就不会插入新的元素,在上面就已经执行return了,也就不会改变size大小
if (++size > threshold)
resize();
// 插入成功时会调用的方法(默认实现为空)
afterNodeInsertion(evict);
// 没有找到原有相同key和hash的元素,则直接返回Null
return null;
}
2
3
4
5
6
7
8
9
10
11
12
13
14
15
16
17
18
19
20
21
22
23
24
25
26
27
28
29
30
31
32
33
34
35
36
37
38
39
40
41
42
43
44
45
46
47
48
49
50
51
52
53
54
55
56
57
58
59
60
61
62
63
64
65
66
67
68
69
70
71
72
73
74
75
76
77
78
79
80
81
82
83
84
85
86
87
88
89
# 3、对比JDK1.7的put()方法源码
对于JDK1.7的 put 方法的分析如下:
1、如果定位到的数组位置没有元素 就直接插入。
2、如果定位到的数组位置有元素,遍历以这个元素为头结点的链表,依次和链表上的 key 比较,如果存在key 相同的节点就直接覆盖,没有相同的节点就采用头插法将元素插入链表。与JDK1.8链表插入元素的不同点就在于1.8是尾插法,1.7是头插法

首先贴一下JDK1.7中HashMap成员属性与1.8相比不同的两个,在put()源码中会出现
//HashMap内部的存储结构是一个数组,此处数组为空,即没有初始化之前的状态
static final Entry<?,?>[] EMPTY_TABLE = {};
//空的存储实体 table是真正存储元素的数组
transient Entry<K,V>[] table = (Entry<K,V>[]) EMPTY_TABLE;
2
3
4
put()方法源码:
/**
* 将“key-value”添加到HashMap中
* @return 如果插入的key在HashMap中已存在,将新插入的value替换旧value,并且返回旧value
* 如何插入的key在HashMap中不存在,则返回Null
*/
public V put(K key, V value) {
// 1. 若 哈希表未初始化(即 table为空)
// 则使用构造函数进行初始化 数组table
if (table == EMPTY_TABLE) {
// 分配数组空间
// 入参为threshold,此时threshold为initialCapacity initialCapacity可以是构造方法中传入的大小,如果构造方法没有指定HashMap容量大小,则使用默认值1<<4(=16)
inflateTable(threshold);
}
// 2. 判断key是否为空值null
// 2.1 若key == null,则将该键-值 存放到数组table 中的第1个位置,即table [0]
// (本质:key = Null时,hash值 = 0,故存放到table[0]中)
// 该位置永远只有1个value,新传进来的value会覆盖旧的value
if (key == null)
return putForNullKey(value);
// 2.2 若 key ≠ null,则计算存放数组 table 中的位置(下标、索引)
// a. 根据键值key计算hash值
int hash = hash(key);
// b. 根据hash值 最终获得 key对应存放的数组Table中位置
int i = indexFor(hash, table.length);
// 3. 判断该key对应的值是否已存在(通过遍历 以该数组元素为头结点的链表 逐个判断)
for (Entry<K,V> e = table[i]; e != null; e = e.next) {
// 3.1 若该key已存在(即 key-value已存在 ),则用新value替换旧value,并返回旧value
Object k;
if (e.hash == hash && ((k = e.key) == key || key.equals(k))) {
V oldValue = e.value;
e.value = value;
// 调用value的回调函数,该函数为空实现
e.recordAccess(this);
return oldValue;
}
}
// 结构性修改,记录HashMap被修改的次数。保证并发访问时,若HashMap内部结构发生变化,快速响应失败
modCount++;
// 3.2 若 该key不存在,则将“key-value”添加到table中
addEntry(hash, key, value, i);
return null;
}
2
3
4
5
6
7
8
9
10
11
12
13
14
15
16
17
18
19
20
21
22
23
24
25
26
27
28
29
30
31
32
33
34
35
36
37
38
39
40
41
42
43
44
45
46
1)、初始化哈希表
真正初始化哈希表(初始化存储数组table)是在第1次添加键值对时,即第1次调用put()时,而不是在构造函数中。
inflateTable()方法用于初始化HashMap,即初始化数组(table)、扩容阈值(threshold)。
****inflateTable的源码如下:
/**
* 初始化hash表
* @param toSize 指定HashMap容量大小
*/
private void inflateTable(int toSize) {
// 1. capacity必须是2的次幂,将传入的容量大小toSize转化为:大于传入容量大小toSize的最小的2的次幂
// 即如果传入的是容量大小是19,那么转化后,初始化容量大小为32(即2的5次幂)
int capacity = roundUpToPowerOf2(toSize);
// 2. 重新计算阈值 threshold = 容量 * 加载因子
// 取capacity*loadFactor和MAXIMUM_CAPACITY+1的最小值,capaticy一定不会超过MAXIMUM_CAPACITY,除非loadFactor大于1
threshold = (int) Math.min(capacity * loadFactor, MAXIMUM_CAPACITY + 1);
// 3. 使用计算后的初始容量(已经是2的次幂) 为table分配空间,即初始化数组table(作为数组长度)
// 即 哈希表的容量大小 = 数组大小(长度)
table = new Entry[capacity];
// 选择合适的Hash因子(即Hash种子),好的Hash种子能提高计算Hash时结果的散列性
initHashSeedAsNeeded(capacity);
}
2
3
4
5
6
7
8
9
10
11
12
13
14
15
16
17
inflateTable这个方法用于为主干数组table在内存中分配存储空间,通过roundUpToPowerOf2(toSize)可以确保capacity为大于或等于toSize的最接近toSize的二次幂,比如toSize=13,则capacity=16;to_size=16,capacity=16;to_size=17,capacity=32。其实现如下:
/**
* 找到大于传入容量大小的最小的2的次幂
*/
private static int roundUpToPowerOf2(int number) {
//若 容量超过了最大值,初始化容量设置为最大值 ;否则,设置为:大于传入容量大小的最小的2的次幂
return number >= MAXIMUM_CAPACITY ?
MAXIMUM_CAPACITY : (number > 1) ? Integer.highestOneBit((number - 1) << 1) : 1;
}
2
3
4
5
6
7
8
roundUpToPowerOf2中的这段处理使得数组长度一定为2的次幂,Integer.highestOneBit是用来获取最左边的bit(其他bit位为0)所代表的数值。
2)、当 key ==null时,将该 key-value 的存储位置规定为数组table 中的第1个位置,即table [0]
/**
* 将key为null的value值放入table[0]上
*/
private V putForNullKey(V value) {
// 遍历以table[0]为首的链表,寻找是否存在key==null 对应的键值对
// 1. 若有:则用新value 替换 旧value;同时返回旧的value值
for (Entry<K,V> e = table[0]; e != null; e = e.next) {
if (e.key == null) {
V oldValue = e.value;
e.value = value;
e.recordAccess(this);
return oldValue;
}
}
}
2
3
4
5
6
7
8
9
10
11
12
13
14
15
从此处可以看出:
- HashMap的键key 可为null(区别于 HashTable的key 不可为null)
- HashMap的键key 可为null且只能为1个,但值value可为null且为多个
3)、当key≠null的时候,计算key的Hash并根据Hash值计算对应在able中的下标
/**
* 源码分析1:hash(key)
* 该函数在JDK 1.7 和 1.8 中的实现不同,但原理一样 = 扰动函数 = 使得根据key生成的哈希码(hash值)分布更加均匀、更具备随机性,避免出现hash值冲突(即指不同key但生成同1个hash值)
* JDK 1.7 做了9次扰动处理 = 4次位运算 + 5次异或运算
* JDK 1.8 简化了扰动函数 = 只做了2次扰动 = 1次位运算 + 1次异或运算
*/
// JDK 1.7实现:将 键key 转换成 哈希码(hash值)操作 = 使用hashCode() + 4次位运算 + 5次异或运算(9次扰动)
static final int hash(int h) {
h ^= k.hashCode();
h ^= (h >>> 20) ^ (h >>> 12);
return h ^ (h >>> 7) ^ (h >>> 4);
}
2
3
4
5
6
7
8
9
10
11
12
通过hash函数得到散列值后,再通过indexFor进一步处理来获取实际的存储位置,其实现如下:
/**
* 函数源码分析2:indexFor(hash, table.length)
* JDK 1.8中实际上无该函数,但原理相同,即具备类似作用的函数
*/
static int indexFor(int h, int length) {
// 将对哈希码扰动处理后的结果 与运算(&) (数组长度-1),最终得到存储在数组table的位置(即数组下标、索引)
return h & (length-1);
}
2
3
4
5
6
7
8
4)、当key≠null时,得到存储的下标位置后,我们就可以将元素放入HashMap中
先判断链表中是否已经存在与要插入元素的key相同的元素,如果有,直接用要插入的新value覆盖旧value。如果没有,则调用addEntry()方法将元素插入:
/**
* 添加链表元素
* 作用:添加键值对(Entry )到 HashMap中
* @param bucketIndex 元素要插入到数组table的索引位置(下标)
*/
void addEntry(int hash, K key, V value, int bucketIndex) {
// 1. 插入前,先判断容量是否足够
// 1.1 若不足够,则进行扩容(2倍)、重新计算Hash值、重新计算存储数组下标
if ((size >= threshold) && (null != table[bucketIndex])) {
resize(2 * table.length); // a. 扩容2倍
hash = (null != key) ? hash(key) : 0; // b. 重新计算该Key对应的hash值
bucketIndex = indexFor(hash, table.length); // c. 重新计算该Key对应的hash值的存储数组下标位置
}
// 1.2 若容量足够,则创建1个新的数组元素(Entry) 并放入到数组中
createEntry(hash, key, value, bucketIndex);
}
/**
* 创建元素,并将新元素添加到HashMap中
* 作用: 若容量足够,则创建1个新的数组元素(Entry) 并放入到数组中
*/
void createEntry(int hash, K key, V value, int bucketIndex) {
// 1. 把table中该位置原来的Entry保存
Entry<K,V> e = table[bucketIndex];
// 2. 使用头插法讲元素插入到链表中,新元素成为链表头节点,新元素的next节点为原链表头节点。这保证了新插入的元素总是在链表的头
table[bucketIndex] = new Entry<>(hash, key, value, e);
// 3. 哈希表的键值对数量计数增加
size++;
}
2
3
4
5
6
7
8
9
10
11
12
13
14
15
16
17
18
19
20
21
22
23
24
25
26
27
28
29
30
# 4、JDk1.7和JDK1.8的区别

# 四、HashMap中如何计算数组下标的
static int indexFor(int h ,int length){
//
return h & (length-1);
}
2
3
4
为什么不对Hash表的长度直接取余而选择使用位运算得到索引呢?
首先我们就要分析HashMap中的扩容方法了解其扩容机制
//获取当前table的长度
int newCapacity = table.length;
//若长度小于目标长度,则扩展为之前的2倍
while (newCapacity < targetCapacity)
newCapacity <<= 1;
2
3
4
5
HashMap的初始容量和扩容都是以2的次方来计算的,那么将length-1将得到一个奇数,也就是换成二进制所有的位都为1,按位与的原则是全都是1,结果才是1,否则就为0.所以该方法其实等价于对length取模。那为什么不用取余来计算呢,因为位运算,是计算机最底层的运算,所以效率要比取余高不少。
# 五、JDK1.7中rehash的底层是怎样实现的
rehash顾名思义重新计算hash值那么在什么时候才需要重新计算hash值呢,首先我们需要了解一个initHashSeedAsNeeded方法
# initHashSeedAsNeeded方法
/*查看initHashSeedAsNeeded函数,返回值是switching,switching取决于 currentAltHashing ^ useAltHashing;这是个异或运算,currentAltHashinghashSeed = hashSeed != 0;hashSeed默认为0,因此currentAltHashinghashSeed默认为false;boolean useAltHashing = sun.misc.VM.isBooted() &&(capacity >= Holder.ALTERNATIVE_HASHING_THRESHOLD);前部分为true,后部分取决于Holder.ALTERNATIVE_HASHING_THRESHOLD。
*/
final boolean initHashSeedAsNeeded(int capacity){
//hashSeed默认情况下为0
boolean currentAltHashing = hashSeed ! =0;
boolean useAltHashing =sun.misc.VM.isBooted() &&
//关键在于传进来的数组的容量
(capacity >=Holder.ALTERNATIVE_HASHING_THRESHOLD);
boolean switching =currentAltHashing ^ useAltHashing;
if(switching){
hashSeed =useAltHashing
? sun.misc.Hashing.randomHashSeed(this)
: 0 ;
}
return switching;
}
2
3
4
5
6
7
8
9
10
11
12
13
14
15
16
# Holder方法
/*
ALTERNATIVE_HASHING_THRESHOLD = threshold;
threshold = (null != altThreshold)? Integer.parseInt(altThreshold): ALTERNATIVE_HASHING_THRESHOLD_DEFAULT;
因此threshold又取决于altThreshold和ALTERNATIVE_HASHING_THRESHOLD_DEFAULT,
前者altThreshold = java.security.AccessController.doPrivileged(
new sun.security.action.GetPropertyAction(
"jdk.map.althashing.threshold"));可以理解为你可以配置虚拟机参数如-D jdk.map.althashing.threshold=3,不配置就为null
后者ALTERNATIVE_HASHING_THRESHOLD_DEFAULT = Integer.MAX_VALUE;整数最大值
因此不配置altThreshold的时候,threshold为Integer.MAX_VALUE;整数最大值,这个时候ALTERNATIVE_HASHING_THRESHOLD=Integer.MAX_VALUE;整数最大值,再回到上面(capacity >= Holder.ALTERNATIVE_HASHING_THRESHOLD);一定为false, boolean switching = currentAltHashing ^ useAltHashing;中的useAltHashing为false,currentAltHashing默认为false,switching就为false,就不会初始化hashseed,也不会重新计算hash。
如果配置altThreshold的时候,ALTERNATIVE_HASHING_THRESHOLD=threshold=配置的值,(capacity >= Holder.ALTERNATIVE_HASHING_THRESHOLD)如果成立,就为true,boolean switching = currentAltHashing ^ useAltHashing;中的useAltHashing为true,currentAltHashing默认为false,switching就为true,就会初始化hashseed,也会重新计算hash。
*/
private static class Holder {
/**
* Table capacity above which to switch to use alternative hashing.
*/
static final int ALTERNATIVE_HASHING_THRESHOLD;
static {
String altThreshold = java.security.AccessController.doPrivileged(
new sun.security.action.GetPropertyAction(
"jdk.map.althashing.threshold"));
int threshold;
try {
threshold = (null != altThreshold)
? Integer.parseInt(altThreshold)
: ALTERNATIVE_HASHING_THRESHOLD_DEFAULT;
// disable alternative hashing if -1
if (threshold == -1) {
threshold = Integer.MAX_VALUE;
}
if (threshold < 0) {
throw new IllegalArgumentException("value must be positive integer.");
}
} catch(IllegalArgumentException failed) {
throw new Error("Illegal value for 'jdk.map.althashing.threshold'", failed);
}
ALTERNATIVE_HASHING_THRESHOLD = threshold;
}
}
2
3
4
5
6
7
8
9
10
11
12
13
14
15
16
17
18
19
20
21
22
23
24
25
26
27
28
29
30
31
32
33
34
35
36
37
38
39
40
41
42
43
44
本质是什么呢,其实就是看你是否想要初始化hashseed,默认为零的,如果你要初始化hashseed,就要设置虚拟机参数,然后rehash才会有可能发生。 rehash的好处是什么呢,在扩容转移数据的时候,rehash后,重新计算的索引值就会变化概率更大,链表就有可能拆散分到数组上去,这样就加强了查询的效率。
# 六、HashMap中的modCount是什么意思
首先我们要知道modCount代表的就是修改次数的意思,put(),get(),remove()方法都是在修改次数
由于HashMap不是线程安全的,所以在迭代的时候,会将modCount赋值到迭代器的expectedModCount属性中,然后进行迭代, 如果在迭代的过程中HashMap被其他线程修改了,modCount的数值就会发生变化, 这个时候expectedModCount和ModCount不相等, 迭代器就会抛出ConcurrentModificationException()异常
# 七、多线程情况下HashMap为什么会出现线程不安全
HashMap的线程不安全主要体现在下面两个方面: 1.在JDK1.7中,当并发 (opens new window)执行扩容操作时会造成环形链和数据丢失的情况。 2.在JDK1.8中,在并发执行put操作时会发生数据覆盖的情况。
# JDK1.7中的线程不安全
在JDK1.7中,扩容数据时要进行把原数据迁移到新的位置,使用的方法:
//数据迁移的方法,头插法添加元素
void transfer(Entry[] newTable, boolean rehash) {
int newCapacity = newTable.length;
//for循环中的代码,逐个遍历链表,重新计算索引位置,将老数组数据复制到新数组中去(数组不存储实际数据,所以仅仅是拷贝引用而已)
for (Entry<K,V> e : table) {
while(null != e) {
Entry<K,V> next = e.next;
if (rehash) {
e.hash = null == e.key ? 0 : hash(e.key);
}
int i = indexFor(e.hash, newCapacity);
//将当前entry的next链指向新的索引位置,newTable[i]有可能为空,有可能也是个entry链,如果是entry链,直接在链表头部插入。
//以下三行是线程不安全的关键
e.next = newTable[i];
newTable[i] = e;
e = next;
}
}
}
2
3
4
5
6
7
8
9
10
11
12
13
14
15
16
17
18
19
这段代码是HashMap在JDK1.7的扩容操作,重新定位每个桶的下标,并采用头插法将元素迁移到新数组中。头插法会将链表的顺序翻转,这也是形成死循环的关键点。
将关键的几行代码提取出:
for (Entry<K,V> e : table) {
while(null != e) {
Entry<K,V> next = e.next;
e.next = newTable[i];
newTable[i] = e;
e = next;
}
}
2
3
4
5
6
7
8
2、扩容造成死循环和数据丢失
假设现在有两个线程A、B同时对下面这个HashMap进行扩容操作:

正常扩容后的结果是下面这样的:

但是当线程A执行到上面transfer函数的第11行代码时,CPU时间片耗尽,线程A被挂起。即如下图中位置所示:

此时线程A中:e=3、next=7、e.next=null

当线程A的时间片耗尽后,CPU开始执行线程B,并在线程B中成功的完成了数据迁移

重点来了,根据Java内存模式可知,线程B执行完数据迁移后,此时主内存中newTable和table都是最新的,也就是说:7.next=3、3.next=null。
随后线程A获得CPU时间片继续执行newTable[i] = e,将3放入新数组对应的位置,执行完此轮循环后线程A的情况如下:

接着继续执行下一轮循环,此时e=7,从主内存中读取e.next时发现主内存中7.next=3,此时next=3,并将7采用头插法的方式放入新数组中,并继续执行完此轮循环,结果如下:

此时没任何问题。
上轮next=3,e=3,执行下一次循环可以发现,3.next=null,所以此轮循环将会是最后一轮循环。
接下来当执行完e.next=newTable[i]即3.next=7后,3和7之间就相互连接了,当执行完newTable[i]=e后,3被头插法重新插入到链表中,执行结果如下图所示:

上面说了此时e.next=null即next=null,当执行完e=null后,将不会进行下一轮循环。到此线程A、B的扩容操作完成,很明显当线程A执行完后,HashMap中出现了环形结构,当在以后对该HashMap进行操作时会出现死循环。 并且从上图可以发现,元素5在扩容期间被莫名的丢失了,这就发生了数据丢失的问题。
# JDK1.8中的线程不安全
上面的扩容造成的数据丢失、死循环已经在在JDK1.8中已经得到了很好的解决,如果你去阅读1.8的源码会发现找不到HashMap#transfer(),因为JDK1.8直接在HashMap#resize()中完成了数据迁移。
为什么说 JDK1.8会出现数据覆盖的情况? 我们来看一下下面这段JDK1.8中的put操作代码:

其中第六行代码是判断是否出现hash碰撞,假设两个线程A、B都在进行put操作,并且hash函数计算出的插入下标是相同的,当线程A执行完第六行代码后由于时间片耗尽导致被挂起,而线程B得到时间片后在该下标处插入了元素,完成了正常的插入,然后线程A获得时间片,由于之前已经进行了hash碰撞的判断,所有此时不会再进行判断,而是直接进行插入,这就导致了线程B插入的数据被线程A覆盖了,从而线程不安全。
除此之前,还有就是代码的第38行处有个++size,我们这样想,还是线程A、B,这两个线程同时进行put操作时,假设当前HashMap的zise大小为10,当线程A执行到第38行代码时,从主内存中获得size的值为10后准备进行+1操作,但是由于时间片耗尽只好让出CPU,线程B快乐的拿到CPU还是从主内存中拿到size的值10进行+1操作,完成了put操作并将size=11写回主内存,然后线程A再次拿到CPU并继续执行(此时size的值仍为10),当执行完put操作后,还是将size=11写回内存,此时,线程A、B都执行了一次put操作,但是size的值只增加了1,所有说还是由于数据覆盖又导致了线程不安全。
